Need to let loose a primal scream without collecting footnotes first? Have a sneer percolating in your system but not enough time/energy to make a whole post about it? Go forth and be mid: Welcome to the Stubsack, your first port of call for learning fresh Awful you’ll near-instantly regret.

Any awful.systems sub may be subsneered in this subthread, techtakes or no.

If your sneer seems higher quality than you thought, feel free to cut’n’paste it into its own post — there’s no quota for posting and the bar really isn’t that high.

The post Xitter web has spawned soo many “esoteric” right wing freaks, but there’s no appropriate sneer-space for them. I’m talking redscare-ish, reality challenged “culture critics” who write about everything but understand nothing. I’m talking about reply-guys who make the same 6 tweets about the same 3 subjects. They’re inescapable at this point, yet I don’t see them mocked (as much as they should be)

Like, there was one dude a while back who insisted that women couldn’t be surgeons because they didn’t believe in the moon or in stars? I think each and every one of these guys is uniquely fucked up and if I can’t escape them, I would love to sneer at them.

(Semi-obligatory thanks to @dgerard for starting this.)

    • db0@lemmy.dbzer0.com
      link
      fedilink
      English
      arrow-up
      15
      ·
      10 months ago

      Holy shit. Managed to never run into them due to sponsorblock but the ways mega corps find ways to extract money out of everyone never ceases to amaze

      • ReversalHatchery@beehaw.org
        link
        fedilink
        English
        arrow-up
        8
        ·
        10 months ago

        I remember when the Dark Reader addon was advertising them years ago, they were doing their shit for a pretty long time

    • Soyweiser@awful.systems
      link
      fedilink
      English
      arrow-up
      14
      ·
      edit-2
      10 months ago

      When I was young I knew people who installed those ‘get money for moving your mouse’ things (this was a thing around 2000, prob combined with a ‘get paid to use your computer’ scam. I’m not sure if anybody even remembers this), and they never got a dime. So I always mentally ignore these things as scams. ‘it is just free money’ is quite the red flag.

      Minor gripe with the video ‘if they product is free you are likely the product’ isn’t true imho. You are always also the product, unless they explicitly go out of their way to make it clear you are not the product (and even then you cannot be totally sure). You can’t pay your way out of the rot economy. In fact, as you are now a person who spends money, I’d think the value of your data actually goes up. A database filled with data of users who never spend a dime online seems like it would be almost useless to me.

    • Mii@awful.systems
      link
      fedilink
      English
      arrow-up
      12
      ·
      10 months ago

      Wow, I’ve been saying for years that this extension is shady as fuck. Nice to see that it’s getting some attention.

      I didn’t expect it to steal affiliate cookies, but that they let you control which codes it “finds” isn’t even a secret, and I thought people know this. But every time I mentioned this on Reddit I was downvoted and called a liar.

    • Amoeba_Girl@awful.systems
      link
      fedilink
      English
      arrow-up
      11
      ·
      10 months ago

      As someone who’s never even considered interacting with any part of this whole system, this is really funny honestly. It’s like a matryoshka of shady business practices.

    • ShakingMyHead@awful.systems
      link
      fedilink
      English
      arrow-up
      11
      ·
      10 months ago

      Making money via stealing commissions from affiliate links, tbf, wasn’t the business model I was suspecting from Honey. I always thought they were scamming but I thought it was going to be from selling your browsing data or something similar. Then again, they still might do that.

    • V0ldek@awful.systems
      link
      fedilink
      English
      arrow-up
      10
      ·
      10 months ago

      I swear to god there was a video I watched about this years ago that already talked about how they don’t give you the best coupons and that they hijack affiliate links. I couldn’t have made that up in my head.

      The most surprising thing to me was that they’re owned by PayPal? How can you have any credibility left when you’re owned by PayPal, wtf, that should’ve been the end of them. Oh, no shit, a service owned by PAYPAL is shady and not above-board?? No way man, those paragons of user centrism, PAY-fucking-PAL.

  • YourNetworkIsHaunted@awful.systems
    link
    fedilink
    English
    arrow-up
    15
    ·
    10 months ago

    Oh hey we got all the way to Pacific time without anyone wishing a generic Merry Christmas. May your family’s Wi-Fi work for everyone with minimal support required.

  • skillissuer@discuss.tchncs.de
    link
    fedilink
    English
    arrow-up
    14
    ·
    10 months ago

    the identity-devouring worldcoin sphere ordered to delete user data by a german data protection office over gdpr noncompliance https://www.euronews.com/next/2024/12/19/german-watchdog-orders-sam-altmans-biometric-id-project-world-to-delete-data

    On Thursday, the German data protection authority, the Bavarian State Office for Data Protection Supervision (BayLDA), concluded a months-long investigation into World and stated that its identification procedure “entails a number of fundamental data protection risks for a large number of data subjects” that does not comply with the European Union’s General Data Protection Regulation (GDPR).

    “With today’s decision, we are enforcing European fundamental rights standards in favour of data subjects in a technologically demanding and legally highly complex case,” said BayLDA president Michael Will.

    is it? it’s another fucking crypto scam

  • antifuchs@awful.systems
    link
    fedilink
    English
    arrow-up
    12
    ·
    10 months ago

    I have some positive news, someone did the math: https://www.sciencedirect.com/science/article/pii/S2452292924000493

    Drawing on recent empirical evidence, we show that ending poverty and ensuring decent living standards (DLS) for all, with a full range of necessary goods and services (a standard that approximately 80% of the world population presently does not achieve) can be provisioned for a projected population of 8.5 billion people in 2050 with around 30% of existing productive capacity

  • sc_griffith@awful.systems
    link
    fedilink
    English
    arrow-up
    11
    ·
    edit-2
    10 months ago

    so openai is claimed to be doing great on the FrontierMath dataset. I’ve already seen the usual sort of dipshits using this to pump ai on reddit, and here’s a post that went to the frontpage on HN:

    https://xenaproject.wordpress.com/2024/12/22/can-ai-do-maths-yet-thoughts-from-a-mathematician/

    (tl;dr only a few problems from the dataset are public but if representative the problems are about 25% survivable by an undergrad; coincidentally this is the % openai says their models are completing.)

    this post is by kevin buzzard. he has a let’s say not easily beloved personality, but I don’t think of him as credulous or grifty, and people in his area regard him as an excellent mathematician.

    he points out but I think does not focus enough on how discrediting the secretive nature of the dataset is. the fact that you can’t make it public is necessary to run such experiments in a scientifically reasonable way, but also makes it totally impossible to run the experiment in a scientifically reasonable way. an experiment which cannot be examined or reproduced is actually the opposite of science. it’s pure grift fuel

    • BigMuffin69@awful.systems
      link
      fedilink
      English
      arrow-up
      6
      ·
      edit-2
      10 months ago

      The ARC scores don’t matter too much to me at 3k a problem. Like the original goal of the prize had a compute limit. You can’t break that rule and then claim victory ( I mean I guess you can, but like not everyone is gonna be as wowed as xitter randos, ensemble methods were already hitting 80% + acc to francois )

      And unfortunately, with Frontier math, the lack of transparency w.r.t. which problems were solved and how they were solved makes it frustrating as hell to me, as someone who actually would like to see a super math robot. According to the senior math advisor to the people who created the data set, iirc 40% solved problems were in the easiest category / 50% in the second tier category and 10% were in the “hard” tier, but he said that he looked at the solutions and that they looked like mostly being solved ‘heuristically’ instead of plopping out any ‘new’ insights.

      Again, none of this is good science, just pure shock and awe. I’ve heard rumors that OAI is hiring strong competition style mathematicians to supervise the reinforcement learning for these types of problems and if they are letting O3 take the test, then how the hell does that not leak the problem set? Like now the whole test is compromised now right? Since this behemoth uses enough electricity to power a city block, theres no way they would be able to run it locally. Now OAI can literally pay their peeps to solve the rest and surprise surprise O3++ will hit 80%

      OTOH, with code forces scores and math scores this high, I can now put on my LW cap and say this model has 2 trillion IQ, so why hasn’t it exterminated me and my family yet like big Yud promised? It’s almost as if there is no little creature inside trying to take over the world or something.

  • db0@lemmy.dbzer0.com
    link
    fedilink
    English
    arrow-up
    11
    ·
    10 months ago

    I want to say I appreciate when there’s a link to the previous one, as after a week it’s nice to see what substacks were posted since.

    • misterbngo@awful.systems
      link
      fedilink
      English
      arrow-up
      7
      ·
      10 months ago

      Glad i did not go with these guys when i was e-reader shopping, the lack of gpl sources was enough for me.

      Went with a pinenote because the timing was good, and while it has some corners I dont except the debian install to become a ccp mouthpiece 🙃

        • misterbngo@awful.systems
          link
          fedilink
          English
          arrow-up
          8
          ·
          10 months ago

          Its a full linux os, so you can do literally anything that can be done with existing tooling. For example, I have syncthing installed on mine so i just have to drop files into a folder on another computer of mine and they show up.

          The software folks have put together a decent experience in the last few years and its rather nice out of the box.

    • gerikson@awful.systems
      link
      fedilink
      English
      arrow-up
      9
      ·
      10 months ago

      Governments have criminalized the practice of managing your own health. Despite the fact that for most of human history bodily autonomy, and self-managed health was the norm, it is now required that most aspects of your health must be mediated by an institution deputized by the state.

      JFC

      go back 200 years before the “gubmint” got involved in public health and tell me that average life expectancy was better than now

      before the pandemic it was possible for people to believe that libertarianism was an answer to everything, turns out if it was a tiny minority would have hoarded all the PPE while the people they were gonna sell it to died of the plague. libertarians have not been able to square this circle since

      • blakestacey@awful.systems
        link
        fedilink
        English
        arrow-up
        14
        arrow-down
        1
        ·
        10 months ago

        Governments have criminalized the practice of managing your own health.

        I have the feeling that they’re not a British trans person talking about the NHS, or an American in a red state panicking about dying of sepsis because the baby they wanted so badly miscarried.

      • Amoeba_Girl@awful.systems
        link
        fedilink
        English
        arrow-up
        7
        ·
        10 months ago

        I think there is value in giving people the tools and knowledge to make more involved decisions about their health, but using that sort of libertarian rhetoric in the covid era is at best really fucking irresponsible.

        • gerikson@awful.systems
          link
          fedilink
          English
          arrow-up
          8
          ·
          10 months ago

          The FDA is a response to people just making shit up and selling cough cures full of opium. “Raw milk” pushers are cut from the same cloth.

        • corbin@awful.systems
          link
          fedilink
          English
          arrow-up
          2
          ·
          10 months ago

          Yeah, as somebody in the USA, I think that both you and @gerikson@awful.systems are pearl-clutching over laboratory conditions while ignoring the other, more serious safety problems being addressed; the presentation was not exaggerating when they were talking about the lifesaving impact of gender-affirming therapy. Last thread, you sheepishly admitted that part of the synthesis is complicated by criminalization and over-regulation; this thread, I’d like a sheepish admission that about a third of the USA (by population) suffers from restrictions on their reproductive rights.

          Like, yes, you shouldn’t brew your own high-proof alcohol at home, because you can go blind from methanol poisoning. But also, there was a time in the USA when high-proof alcohol was over-regulated, and it incentivized a lot of people to homebrew.

          • skillissuer@discuss.tchncs.de
            link
            fedilink
            English
            arrow-up
            4
            ·
            10 months ago

            i see this all more as a publicity stunt/attention grab than anything else. i wrote there about naloxone because laufer has put much more information about naloxone than about anything else in question there. he has put naloxone structure on his website all the way back in 2016 with “other molecules” description, suggesting that there’s some work in progress. now he’s talking about “releasing” procedure for naloxone synthesis ripped from a paper that came out in 2013, available on scihub for all to see. it took them so fucking long that since then: 1. availability of black market opioids shifted from genuine perc pills that you can divert from real pharmacy and that can be used to make naloxone, to possibly counterfeit ones containing fentanyl that you can’t. were he releasing this all the way back in say 2018, this still could be marginally useful. 2. since then naloxone has been made available OTC making cooking it on your own obsolete. 3. there’s also an option of using some other antagonists that can use codeine as starting material - i’d like to see this regulated - but these come with more side effects and absolutely zero work has been done in this direction either. whatever he’s doing, it’s not particularly fruitful other than getting talks for people who don’t know any better

            this thread, I’d like a sheepish admission that about a third of the USA (by population) suffers from restrictions on their reproductive rights.

            you’re saying this as if it’s american-only problem. diy hrt and diy plan-b were a thing way before laufer and will continue to be a thing until they’re not needed, and these work by diverting legit pharmaceuticals. his miso card thing is possibly okayish if sealed but it works only because there’s no synthesis involved, it’s diverting veterinary drugs, which is fine because it’s likely that these come from the same reactor anyway. if anything i guess he might be harmful in this one by bringing unwanted attention. if you take into attention that he floated an idea of making gene therapy on their own, with aim of introducing extra aromatase so that testosterone is transformed into estrogen almost completely, as an alternative to hrt, and possibly some other gene therapies, i cannot take him seriously. this gotta be a massive, overly long, deeply unserious attention grab. if it’s grift, it’s not a very good one, with $23k (current prices) in crypto donations since 2019 and $5/mo patreon

            and btw there’s no methanol in moonshine, at least not in harmful levels. there is methanol in denatured alcohol in countries where regulators don’t give a fuck or where they believe that “morally deficient” people like addicts should suffer, like in US, in EU contaminants are nontoxic. methanol in counterfeit alcohol occurs only as intentional contamination and/or cost-cutting measure, or when whoever is cooking it does not know any better

          • gerikson@awful.systems
            link
            fedilink
            English
            arrow-up
            3
            ·
            10 months ago

            The US healthcare system needs to be fixed, and probably others as well.

            Synthesizing your own meds is not the fix.

            It is, at best, a band-aid. Having transpersons and pregnant women reliant on international drug networks (becuse realistically those are the orgs that are gonna step into this void if needed) is not a good outcome.

    • veganes_hack@feddit.org
      link
      fedilink
      English
      arrow-up
      8
      ·
      10 months ago

      never heard of them before. from skimming their wikipedia, it seems their grift is glossing over the details in the “science” part?

      • Soyweiser@awful.systems
        link
        fedilink
        English
        arrow-up
        12
        ·
        edit-2
        10 months ago

        From what I heard: Skimming over science, best practices, risks of contamination, risk of producing horror chemicals, problems of sourcing materials, storing materials, storing the final product etc etc.

        Here is a bsky thread from the last time they were in the publics eye (more here if you dont have an account) (the latter articles are clearly working on a diff definition of capitalism than I use so I chose not to be too annoyed with the weird digs about that).

        This should be a very big red flag: “Mixæl Swan Laufer worked in mathematics and high energy physics until he decided to use his background in science to tackle problems of global health and human rights.” (Ignoring all the other smaller red flags btw, I think I could point one out ever paragraph, if I had not heard about these people before, the final red pill reference would have made me think they were trolling).

        • veganes_hack@feddit.org
          link
          fedilink
          English
          arrow-up
          8
          ·
          10 months ago

          interesting read, thanks. the red pill reference also had me rolling my eyes. i guess it’s more virtue signalling than actually making a change.

          • Soyweiser@awful.systems
            link
            fedilink
            English
            arrow-up
            7
            ·
            edit-2
            10 months ago

            It is a bit weird, it has very high EA vibes to me, started and did some good (epipen in 2017 vs EAs malaria nets), but end up to have some crazy plan for which the other things are more of a smokescreen for their real plans (an easy bake chemical oven make chems at home kit vs EAs stopping our lord and saviour the robotgod) using rethoric aimed at a specific subgroup (2000-2010 anarchist libertarian hackers vs nerdy altruists)

            E: I really wonder if they were influenced by the dr sleepless series from the disgraced warren ellis, and the stuff around that.

    • froztbyte@awful.systems
      link
      fedilink
      English
      arrow-up
      7
      ·
      10 months ago

      why they even are there

      (from observation over some years) congress orga more than occasionally fucks up on paradox of tolerance by letting shit like this through

      it’s been a thing I’ve noticed and have wanted to actually discuss with some folks, but never really gotten to yet on account of life stuff

      there were also the much, much less grey-area instances a couple of years back where they were far too open to a number of abusers (this was around the time the appelbaum shit hit wide daylight), so there is a possibility that the issue runs deeper (in a structural sense, at best; personal sense, at worst) too but I possess insufficient information to know one way or the other what exactly may constitute the problem here

      • gerikson@awful.systems
        link
        fedilink
        English
        arrow-up
        6
        ·
        10 months ago

        I don’t wanna pull national stereotypes here but aren’t Germans really quite open about stuff like homeopathy? “be your own pharmacist” sounds like right up that alley

        • Mii@awful.systems
          link
          fedilink
          English
          arrow-up
          4
          ·
          10 months ago

          Yes, I can confirm this is true. Homeopathy is really accepted here and is even covered by most health insurances.

          There is even a passage in the pharmaceutical law that specifically excludes homeopathic shit from having to prove its effectiveness (they only have to prove it’s not hurting anyone, and the rules for that are much laxer than for other medicine). It’s absolutely baffling.

          • Soyweiser@awful.systems
            link
            fedilink
            English
            arrow-up
            4
            ·
            10 months ago

            There also is a lot of homeopathic meds in the Netherlands, dont know about the legal status, do know it didnt help much with my hayfever as a kid.

        • froztbyte@awful.systems
          link
          fedilink
          English
          arrow-up
          4
          ·
          10 months ago

          I haven’t really got enough information about that side of it, the details I have to go on are mostly about things particularly around the values CCC has tried to hold/build (and even there I am absolutely not intimately familiar, for reasons of distance and exposure and such)

        • skillissuer@discuss.tchncs.de
          link
          fedilink
          English
          arrow-up
          10
          ·
          edit-2
          10 months ago

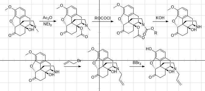
          so i figured out what their naloxone synthesis is, it’s based on this paper https://sci-hub.se/10.1002/adsc.201300284 they say it’s two step, it’s not two step, it’s 6 steps in two critical one-pot sequences. paper starts with oxymorphone and they start with oxycodone for some reason, that’s one step extra. that transformation requires handling BBr3 which is nasty but clean or NaSEt which is also nasty but safer, but also requires column chromatography for purification. it still can fail in a way that gives products of activity opposite than intended. requires hard to get and rather more on expensive side reagents like vinylmagnesium bromide and burgess reagent, both require strictly anhydrous conditions to work. vinylmagnesium bromide and even solvent used with it (THF) will destroy that shitty PLA lid. final purification in paper requires column chromatography as well. not to mention elephant in the room, that if counterfeit oxy pills are used that contain fentanyl instead it gets you either nothing or fentanyl

          what is in paper

          what they have shown

          this synthesis is fucking garbled and it’s only one of many steps

          same with cabotegravir

          they’re also using advanced intermediates that could be very hard to source, because this kind of stuff is made internally in company only, particularly that pyridone on left

          and that’s just naloxone. nothing particularly hard if you know what are you doing and have right starting materials. commercial synthesis is entirely different btw, and this is partially to make purifications easier and to use robust, high yielding chemistry using cheaper starting materials. they also want to make cabotegravir, mifepristone and fucking gene therapy, and diy hrt (they never cared about it before??) which was already a thing wayy before they got to it, it involved shipping steroids out of Ukraine iirc and it worked because no garage synthesis was involved at all. at least they admitted that making monoclonal antibodies is probably out of their reach, how merciful of them. and that’s just first 15min

          it looks like they’re desperately pivoting for attention left and right, i see there nothing but grift

          when you have to consider what this arduino jar is even capable of, just taking a look at that naloxone synthesis makes it absolutely fucking useless. it can’t replace sep funnel, rotovap, chromatographic column; it can’t provide inert atmosphere, required in steps 3 and 5 of original paper, it can’t survive refluxing THF because lid will dissolve or melt and cave in, required in step 6 and whatever refluxing solvent is used in step giving oxymorphone from oxycodone, because they neglected to show it, and even if it did, there’s no condenser on top. it really is juicero of backyard chemistry

          update: yeah nah what the fuck laminar flow fumehood is wildly out of reach of normal people, making sterile injectables in a garage is not a safe option for 99.99% of people

          update 2: analytical techniques included: homemade raman, melting point measurement, dancesafe drug test suite. and fucking taste test, going all the way to 1890s best practices i see. none of these are good at detecting impurities, it will only be good to detect if chinese vendor sent you wrong stuff and it’s only if it was pure

          update 3: WE’RE MAKING HRT! looks inside: we’re buying APIs from India/China and compounding them in garage with zero real qc, also we’ll solve HRT with garage gene therapy, promise, maybe, some years from now, donate in meantime

          • Soyweiser@awful.systems
            link
            fedilink
            English
            arrow-up
            4
            ·
            10 months ago

            Thanks. The ending where he goes “how would I deal with company patent lawyers? Well flips them off” is a bit annoying as well. I heard some make diy E makers and distributers were jailed already. So setting up some assistance system for that would be nice (esp after you made it worse by making it easier for the courts to call them terrorists, sure the term has degraded but law wise this has consequences. I really hope he at least got some trans people involved before he started this (and i also really hope im wrong about the risks here, as trans people should get all the meds they want)).

            • skillissuer@discuss.tchncs.de
              link
              fedilink
              English
              arrow-up
              3
              ·
              edit-2
              10 months ago

              he’s already easily covered under personal/research nonprofit use so he doesn’t have to care about any patents, it’s even opposite, he can use all patents all he wants np as long as there’s no profits associated with it. he takes donations tho and idk if it qualifies. not that copyright is the biggest problem here

              i don’t think that whatever he’s doing will help transfolk cause too much, there already is some hormone supply and all he’s doing is bringing unwanted attention. i hope i’m wrong on this one

              • Soyweiser@awful.systems
                link
                fedilink
                English
                arrow-up
                3
                ·
                10 months ago

                I took the question to be a vit more broad than just be about patents, like sure that might not be a problem re a lawsuit you can lose, vut just fighting the lawsuits will be bad for people, and will the 4 vinegars offer any help for people who do this and get in trouble. This feels a bit centralize the fame and decentralize all the risk. Which will usually not end great for the people who have less privileges than the phd educated cis guy. I hope they thought more about this than just flipping people off (or worse, “if somebody gets in legal trouble we can use that to promote our cause”). But i tend to be a bit more paranoid than most.

                • skillissuer@discuss.tchncs.de
                  link
                  fedilink
                  English
                  arrow-up
                  2
                  ·
                  10 months ago

                  wouldn’t surprise me, but this would require them to have something workable in the first place. otoh even martin shkhreli didn’t do that

          • YourNetworkIsHaunted@awful.systems
            link
            fedilink
            English
            arrow-up
            4
            ·
            10 months ago

            I read through this with my wife who actually did a whole course of organic chemistry, pre-med, etc. Her reaction to your criticisms was largely “of course you would have to do that and that’d be a pain in the ass but it’s definitely doable.” And I feel like that’s probably true but at the same time as a reasonably smart dude this is the first time I’ve heard the majority of these words.

            It feels like they’re reacting to the same tendency in tech culture that I’ve complained about before where specialized knowledge and domain expertise are treated like arcane revelations from beyond. It’s not that your average person is incapable of understanding or going through the relevant processes; Cs ,as the saying goes, get degrees and I’m sure many of the labs actually doing this work at scale are staffed largely by those C students. But it’s also worth acknowledging that there is a level of investment in time and resources required to actually do it and this kind of “you have nothing to lose but your pharmacological chains” rhetoric is dramatically underselling how difficult those processes are and how bad the consequences can be if you screw it up. Anyone who wants to try should first read The Iliad, the Oedipus cycle, and at least one other epic-sized meditation on hubris. And the once you’ve forged ahead read the relevant books on actually following the process for the love of God.

            • skillissuer@discuss.tchncs.de
              link
              fedilink
              English
              arrow-up
              5
              ·
              edit-2
              10 months ago

              of course you can make it work but it’s more expensive and harder than normal commercial synthesis. with such limited analytical methods you might not even be able to tell that something went wrong (melting points can be completely fucked up by traces of solvent, same with IR) naloxone is actually a nice example of how you can design synthesis in order to make your life easier, in terms of purification at least. one of commercial syntheses looks like this

              anyway that’s what i found in one chinese patent (CN104230945A). they start from oxycodone, which they make from thebaine, which they don’t have to make because it’s a natural product. there’s a very useful purification technique, column chromatography, that works like this: you take a tube, fill it with silicagel, then pour hexane through it, then put your compound on top of that silicagel column. silicagel is polar, and the more polar compound is, the stronger it is bound to it. so now in order to get your pure compound you wash this column with increasingly polar solvents, and this way you can recover various compounds in order from least polar to most. this allows you to get pure compounds most of the time

              now, small changes in or near polar groups mean that polarity changes little. in particular, we can ignore for five minutes all these hydroxyls and just focus on amine because it’s the most polar part and any changes at other groups make polarity change in the same way anyway. step 2 is von braun degradation, and it removes methyl and turns amine into amide. this amide is very likely to have much lower polarity than starting product and so it can be easily separated on column. here specifically, it’s no longer basic so unreacted acetyloxycodone can be just washed away with acid extraction, which is good for both low tech and large scale. step 3 is hydrolysis, which gives us amine back, which again gives more polar product which means again that separation is easy. if some acetyloxycodone was left there, it would give very similar compound, just with that N-methyl left and separating it would be pretty hard. this here is especially important as N-methyl and N-allyl compounds have opposite effects

              that weird synthesis with burgess reagent and everything else also allows for separation of these unreacted starting materials, but this requires column chromatography in the middle. if you skip it, maybe it’ll turn out alright or maybe you just fucked up for the last time. maybe mCPBA was old, or maybe burgess reagent or THF was wet, or any variety of random bullshit that someone inexperienced would not even register. and this is only one point that brings us to point 2: that jarduino is really juicero of backyard chemistry. to begin, you need dry solvents, and this is something you should do yourself if you want it to be done right. this means you need to reflux THF with drying agent of your choice, then distill it away to clean dry bottle, fill it with argon, ideally add molecular sieves and tape it shut. then you have to reflux something, this requires all glass flask because that 3d-printed head will melt under these conditions. at some point you also need sep funnel and rotovap and column, and so on and so on and it turns out that you already have all glassware to do it all the normal way and jarduino isn’t even needed for anything. (also i don’t understand their choice of peristaltic pumps, as they already put everything in syringes, this means that you can just use syringe pumps and use normal medical long needles for piping of sorts. it’s very chemically resistant as long as plungers aren’t rubber, which their demos had for some weird reason)

              this is closer to the synthesis i thought they were using

              if you swap oripavine for oxymorphone and cyclopropylmethyl bromide for allyl bromide, you should get naloxone, probably, in 2 steps. this doesn’t work keeping cyclopropylmethyl bromide and using oxymorphone gets you naltrexone which also works as antagonist and even slightly more potent one, it’s from this paper https://cdnsciencepub.com/doi/10.1139/cjc-2014-0552

              then there are all the sterility requirements, as they want to make injectables in garage. i’m not pharmacist or biologist, but i expect it would be a bit harder to make it reliably and repeatably than what they make it look like. i take that your wife is a medical professional so if she weighed in on that, that would be nice

              also, part of their advice is to just eyeball powder as a part of identification. this is a bad idea because how stuff looks like and behaves can change depending on humidity, traces of solvents if any, and ambient temperature, especially for low melting solids, and crystal habit can vary from batch to batch anyway and it’s not a reliable indicator of anything

              • YourNetworkIsHaunted@awful.systems
                link
                fedilink
                English
                arrow-up
                5
                ·
                10 months ago

                Unfortunately actually working in bio/med didn’t go well despite training for it aggressively and working her ass off given that she graduated at the perfect time to compete for entry-level positions with recently laid-off people with 5+ years of experience. Between that and chronic illness in the family will all the associated experience with the failings of our medical system I’m actually pretty sympathetic to the biohackers from a purely ideological perspective, but these people are just begging for a disaster.

                Beyond reading through and enthusiastically agreeing with everything you had, she did say that if you’re working on anything consumable or injectable using 3D printed parts at all is going to be a red flag. Your first two pieces of equipment should be an autoclave and a fume hood, at which point you’re better off working with all glass for durability and not melting reasons. Making your work space actually sterile and sufficiently free of contaminants to do any of this jnt be first place is also going to be a pain, require a lot of tape and curtains and the like, and probably not work as well as you’d want.

                Also even working in a proper university lab with a fume hood and climate controls you still get sufficiently different results that the mk1 eyeball is utterly insufficient for identification. You’ll learn worse than nothing.

                • self@awful.systems
                  link
                  fedilink
                  English
                  arrow-up
                  4
                  ·
                  10 months ago

                  if you’re working on anything consumable or injectable using 3D printed parts at all is going to be a red flag

                  I keep having to remind a couple of my friends who got 3D printers for themselves as gifts that 3D printed parts aren’t ever food safe, much less whatever standard’s required to make safe injectables. specifically, bacteria likes to hide inside the layer lines on FDM parts, and resin parts are made of a material that shouldn’t be ingested or introduced into your bloodstream

                • skillissuer@discuss.tchncs.de
                  link
                  fedilink
                  English
                  arrow-up
                  2
                  ·
                  10 months ago

                  on chemistry side, i guess you can wing it a bit and not strictly require fume hood in low population density area. not having rotovap, at best with appendages (chiller + chemical resistant vacuum pump, aspirator gives limited capability) makes all but simplest syntheses deeply unserious to impossible especially if you want to do some analysis later. especially if it’s IR and melting point because solvents fuck up both

  • sc_griffith@awful.systems
    link
    fedilink
    English
    arrow-up
    6
    ·
    edit-2
    10 months ago

    read through some HN comments the other day and felt so intelligent by comparison. I’m kind of a dipshit so don’t get that feeling many places. just there and /r/adviceanimals really